• 产品

    动圈扬声器

    BMR 扬声器

    动圈接收器

    BA 接收器

    蜂鸣器

    激励单元

    鹅颈麦克风

    ECM 麦克风

    MEMS 麦克风

    特种麦克风

    IA 麦克风

    加速度传感器

    语音振动传感器

    声学阻尼器

    防耳垢滤网

    感应线圈

    编程配件

    扬声器模组

    麦克风模组

    RIC 模组

    ProxFusion 多功能传感器

    ProxFusion 评估套件

    ProxSense 电容式传感器

    ProxSense 模组

    ProxSense 评估套件

    神经决策处理器

    助听器 DSP

    助听器 DSP 评估套件

    蓝牙模组

    蓝牙模组评估套件

  • 声学设计服务

    扬声器解决方案

    麦克风解决方案

    OTE - ITE 助听器

    声学测量能力

    电声仿真

  • 工程设计与制造

    扬声器交钥匙解决方案

    麦克风交钥匙解决方案

    工业工具

  • 合作伙伴
  • 关于我们
  • 新闻资讯
    • 声学评测
    • 活动
    • 线上研讨会
联系我们
  • 产品

    动圈扬声器

    BMR 扬声器

    动圈接收器

    BA 接收器

    蜂鸣器

    激励单元

    鹅颈麦克风

    ECM 麦克风

    MEMS 麦克风

    特种麦克风

    IA 麦克风

    加速度传感器

    语音振动传感器

    声学阻尼器

    防耳垢滤网

    感应线圈

    编程配件

    扬声器模组

    麦克风模组

    RIC 模组

    ProxFusion 多功能传感器

    ProxFusion 评估套件

    ProxSense 电容式传感器

    ProxSense 模组

    ProxSense 评估套件

    神经决策处理器

    助听器 DSP

    助听器 DSP 评估套件

    蓝牙模组

    蓝牙模组评估套件

  • 声学设计服务

    扬声器解决方案

    麦克风解决方案

    OTE - ITE 助听器

    声学测量能力

    电声仿真

  • 工程设计与制造

    扬声器交钥匙解决方案

    麦克风交钥匙解决方案

    工业工具

  • 合作伙伴
  • 关于我们
  • 新闻资讯
    • 声学评测
    • 活动
    • 线上研讨会
Contact Us
  • 产品
  • 声学设计服务
  • 工程设计与制造
  • 合作伙伴
  • 关于我们
  • 新闻资讯
    • 声学评测
    • 活动
    • 线上研讨会
  • 产品
  • 声学设计服务
  • 工程设计与制造
  • 合作伙伴
  • 关于我们
  • 新闻资讯
    • 声学评测
    • 活动
    • 线上研讨会
Contact Us

Search for specific product:

Categories:

  • Acoustic Components
  • Capacitive, Multifunctional Sensors
  • Processors
  • Wireless Systems

Latest News:

How to estimate SPL from a microphone output ?

14 October 2025

When developing audio devices involving microphones, knowing the actual Sound Pressure Level (SPL) hitting your sensor is crucial. It…

Read More »
« Previous Next »
Home / Acoustic Review / Speaker Enclosure Damping: A Few Directions for Proper Alignment

Speaker Enclosure Damping: A Few Directions for Proper Alignment

Designing a sealed speaker enclosure properly requires a solid understanding of acoustic principles, often relying on modelling techniques such as lumped elements or finite elements to accurately predict performance. However, for many practical applications, simplified methods can provide quick and effective estimates. In this post, we propose managing enclosure damping (Qtc) using only two basic inputs: the speaker’s total quality factor (Qts) and the equivalent compliance volume (Vas).

In many designs, the available volume for a speaker enclosure is often predetermined due to space constraints. Therefore, the first formula below (1) estimates the damping based on a known enclosure volume. It can also be reversed to estimate the volume required for a targeted damping value (2).

Or

Where Vas and enclosure size are expressed in the same units (L or m³).

Once the damping is estimated, charts like the one shown in Figure 1 illustrate the sound pressure level for various enclosure damping values in relation to the enclosure resonant frequency (fc)

From the figure, we can see that the amplitude of the response at resonance varies significantly depending on the damping value. For low values (high damping), the response is quickly attenuated, while for higher values (low damping), the resonance tends to ring.

Additionally, depending on the damping value, there is a swap between fc and f3, the latter being defined as the frequency where the amplitude drops by 3 dB from the nominal level. For low damping, f3 is lower than fc, whereas for high damping, the opposite occurs. This observation highlights that f3 can sometimes be a better indicator for estimating the bandwidth of the enclosure.

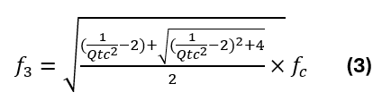
As for Qtc, a simple formula (3) allows estimating f3 knowing both Qtc and fc.

Many online articles discuss the importance of Qtc for achieving good alignment in speaker enclosures. Notably, Marius Tanasescu offers valuable insights, highlighting how the chosen alignment affects the speaker’s transient response [1]:

  • A Qtc around 0.5 offers excellent transient response but results in an over-damped speaker with lower efficiency.
  • Most aim for a Qtc of 0.707 as it provides a good balance with solid transients.
  • For Qtc values between 0.7 and 1.2, efficiency improves, though transient response slightly degrades and the roll-off becomes steeper.
  • When Qtc exceeds 1.2, the system achieves high efficiency but suffers from poor transients due to an under-damped response.

Do you need a complete speaker enclosure design tailored to your specific needs? Contact Seltech for expert guidance and solutions. Let our team help you achieve the perfect balance of performance and efficiency.

Discover more about our acoustic department

Review by:

Frédéric Fallais – Acoustic Application Engineer, SELTECH

[1] M. Tanasescu, “Sealed Enclosure Explained in Detail and Calculator,” January 25, 2016. [Online].

Available: https://audiojudgement.com/sealed-enclosure-closed-box/ [Accessed September 16, 2024].

PrevPreviousStiffness controlled diaphragm as a possible sound attenuation solution
NextELECTRONICA 24 – Munich – November 12-15Next

南京赛泰商贸有限公司

江苏省南京市鼓楼区南昌路40号长江科技园大厦2001

Tel EU : +33 1 48 92 90 02
Tel USA : +1 (919) 481 6896
Tel CN: +86 25 83 45 54 33

产品

  • 声学组件
  • 电容式多功能传感器
  • 处理器
  • 无线系统
  • 声学组件
  • 电容式多功能传感器
  • 处理器
  • 无线系统

服务

  • 声学设计服务
  • 工程设计与制造
  • 碳足迹
  • SPL 计算器
  • 加入我们
  • 声学设计服务
  • 工程设计与制造
  • 碳足迹
  • SPL 计算器
  • 加入我们

法律信息

  • 欧洲条款与条件
  • 美国条款与条件
  • 企业社会责任(CSR)
  • 法律声明
  • 欧洲条款与条件
  • 美国条款与条件
  • 企业社会责任(CSR)
  • 法律声明

© Copyright 2025 SELTECH, All Right Reserved.